Applies To
Excel for Microsoft 365 Excel for Microsoft 365 for Mac Excel for the web Excel 2024 Excel 2024 for Mac Excel 2021 Excel 2021 for Mac Excel 2019 Excel 2016

Returns the hypergeometric distribution. HYPGEOMDIST returns the probability of a given number of sample successes, given the sample size, population successes, and population size. Use HYPGEOMDIST for problems with a finite population, where each observation is either a success or a failure, and where each subset of a given size is chosen with equal likelihood.

Important: This function has been replaced with one or more new functions that may provide improved accuracy and whose names better reflect their usage. Although this function is still available for backward compatibility, you should consider using the new functions from now on, because this function may not be available in future versions of Excel.

For more information about the new function, see HYPGEOM.DIST function.

Syntax

HYPGEOMDIST(sample_s,number_sample,population_s,number_pop)

The HYPGEOMDIST function syntax has the following arguments:

  • Sample_s     Required. The number of successes in the sample.

  • Number_sample     Required. The size of the sample.

  • Population_s     Required. The number of successes in the population.

  • Number_pop     Required. The population size.

Remarks

  • All arguments are truncated to integers.

  • If any argument is nonnumeric, HYPGEOMDIST returns the #VALUE! error value.

  • If sample_s < 0 or sample_s is greater than the lesser of number_sample or population_s, HYPGEOMDIST returns the #NUM! error value.

  • If sample_s is less than the larger of 0 or (number_sample - number_population + population_s), HYPGEOMDIST returns the #NUM! error value.

  • If number_sample ≤ 0 or number_sample > number_population, HYPGEOMDIST returns the #NUM! error value.

  • If population_s ≤ 0 or population_s > number_population, HYPGEOMDIST returns the #NUM! error value.

  • If number_population ≤ 0, HYPGEOMDIST returns the #NUM! error value.

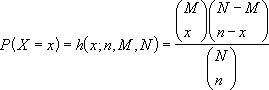
  • The equation for the hypergeometric distribution is:

    Hypgeomdist

    where:

    x = sample_s

    n = number_sample

    M = population_s

    N = number_population

    HYPGEOMDIST is used in sampling without replacement from a finite population.

Example

Copy the example data in the following table, and paste it in cell A1 of a new Excel worksheet. For formulas to show results, select them, press F2, and then press Enter. If you need to, you can adjust the column widths to see all the data.

Data

Description

1

Number of successes in the sample

4

Sample size

8

Number of successes in the population

20

Population size

Formula

Description

Result

=HYPGEOMDIST(A2,A3,A4,A5)

Hypergeometric distribution for sample and population in cells A2, A3, A4, and A5.

0.3633

Need more help?

Want more options?

Explore subscription benefits, browse training courses, learn how to secure your device, and more.