Applies To
Excel for Microsoft 365 Excel for Microsoft 365 for Mac Excel for the web Excel 2024 Excel 2024 for Mac Excel 2021 Excel 2021 for Mac Excel 2019 Excel 2016

This article describes the formula syntax and usage of the HYPGEOM.DIST function in Microsoft Excel.

Returns the hypergeometric distribution. HYPGEOM.DIST returns the probability of a given number of sample successes, given the sample size, population successes, and population size. Use HYPGEOM.DIST for problems with a finite population, where each observation is either a success or a failure, and where each subset of a given size is chosen with equal likelihood.

Syntax

HYPGEOM.DIST(sample_s,number_sample,population_s,number_pop,cumulative)

The HYPGEOM.DIST function syntax has the following arguments:

  • Sample_s     Required. The number of successes in the sample.

  • Number_sample     Required. The size of the sample.

  • Population_s     Required. The number of successes in the population.

  • Number_pop     Required. The population size.

  • Cumulative     Required. A logical value that determines the form of the function. If cumulative is TRUE, then HYPGEOM.DIST returns the cumulative distribution function; if FALSE, it returns the probability mass function.

Remarks

  • All arguments are truncated to integers.

  • If any argument is nonnumeric, HYPGEOM.DIST returns the #VALUE! error value.

  • If sample_s < 0 or sample_s is greater than the lesser of number_sample or population_s, HYPGEOM.DIST returns the #NUM! error value.

  • If sample_s is less than the larger of 0 or (number_sample - number_population + population_s), HYPGEOM.DIST returns the #NUM! error value.

  • If number_sample ≤ 0 or number_sample > number_population, HYPGEOM.DIST returns the #NUM! error value.

  • If population_s ≤ 0 or population_s > number_population, HYPGEOM.DIST returns the #NUM! error value.

  • If number_pop ≤ 0, HYPGEOM.DIST returns the #NUM! error value.

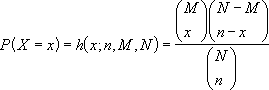
  • The equation for the hypergeometric distribution is:

    Equation

    where:

    x = sample_s

    n = number_sample

    M = population_s

    N = number_pop

    HYPGEOM.DIST is used in sampling without replacement from a finite population.

Example

Copy the example data in the following table, and paste it in cell A1 of a new Excel worksheet. For formulas to show results, select them, press F2, and then press Enter. If you need to, you can adjust the column widths to see all the data.

Data

Description

Result

1

Number of successes in the sample

4

Sample size

8

Number of successes in the population

20

Population size

Formula

Description (Result)

=HYPGEOM.DIST(A2,A3,A4,A5,TRUE)

Cumulative hypergeometric distribution function, for sample and population in cells A2 through A5.

0.4654

=HYPGEOM.DIST(A2,A3,A4,A5,FALSE)

Probability hypergeometric distribution function, for sample and in cells A2 through A5.

0.3633

Need more help?

Want more options?

Explore subscription benefits, browse training courses, learn how to secure your device, and more.