Applies To
Excel for Microsoft 365 Excel for Microsoft 365 for Mac Excel for the web Excel 2024 Excel 2024 for Mac Excel 2021 Excel 2021 for Mac Excel 2019 Excel 2016

This article describes the formula syntax and usage of the SKEW.P function in Microsoft Excel.

Description

Returns the skewness of a distribution based on a population: a characterization of the degree of asymmetry of a distribution around its mean.

Syntax

SKEW.P(number 1, [number 2],…)

The SKEW.P function syntax has the following arguments.

Number 1, number 2,…    Number 1 is required, subsequent numbers are optional. Number 1, number 2,… are 1 to 254 numbers or names, arrays, or reference that contain numbers for which you want the population skewness.

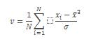
SKEW.P uses the following equation:

SKEW.P equation

Remarks

  • Arguments can either be numbers or names, arrays, or references that contain numbers.

  • Logical values and text representations of numbers that you type directly into the list of arguments are counted.

  • If an array or reference argument contains text, logical values, or empty cells, those values are ignored; however, cells with the value zero (0) are included.

  • SKEW.P uses the standard deviation of an entire population, not a sample.

  • If arguments are values that are not valid, SKEW.P returns the #NUM! error value.

  • If arguments use data types that are not valid, SKEW.P returns the #VALUE! error value.

  • If there are fewer than three data points, or the sample standard deviation is zero, SKEW.P returns the #DIV/0! Error value.

Example

Copy the example data in the following table, and paste it in cell A1 of a new Excel worksheet. For formulas to show results, select them, press F2, and then press Enter. If you need to, you can adjust the column widths to see all the data.

Population Data Set

3

4

5

2

3

4

5

6

4

7

Formula

Description

Result

=SKEW.P(A2:A11)

Skewness of a distribution based on the population of the data set in A2:A11 (0.303193).

0.303193

Top of Page

Need more help?

Want more options?

Explore subscription benefits, browse training courses, learn how to secure your device, and more.