Applies To
Excel for Microsoft 365 Excel for Microsoft 365 for Mac Excel for the web Excel 2024 Excel 2024 for Mac Excel 2021 Excel 2021 for Mac Excel 2019 Excel 2016

This article describes the formula syntax and usage of the RSQ  function in Microsoft Excel.

Description

Returns the square of the Pearson product moment correlation coefficient through data points in known_y's and known_x's. For more information, see the PEARSON function. The r-squared value can be interpreted as the proportion of the variance in y attributable to the variance in x.

Syntax

RSQ(known_y's,known_x's)

The RSQ function syntax has the following arguments:

  • Known_y's    Required. An array or range of data points.

  • Known_x's    Required. An array or range of data points.

Remarks

  • Arguments can either be numbers or names, arrays, or references that contain numbers.

  • Logical values and text representations of numbers that you type directly into the list of arguments are counted.

  • If an array or reference argument contains text, logical values, or empty cells, those values are ignored; however, cells with the value zero are included.

  • Arguments that are error values or text that cannot be translated into numbers cause errors.

  • If known_y's and known_x's are empty or have a different number of data points, RSQ returns the #N/A error value.

  • If known_y's and known_x's contain only 1 data point, RSQ returns the #DIV/0! error value.

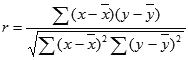
  • The equation for the Pearson product moment correlation coefficient, r, is:

    Equation

    where x and y are the sample means AVERAGE(known_x’s) and AVERAGE(known_y’s).

    RSQ returns r2, which is the square of this correlation coefficient.

Example

Copy the example data in the following table, and paste it in cell A1 of a new Excel worksheet. For formulas to show results, select them, press F2, and then press Enter. If you need to, you can adjust the column widths to see all the data.

Data

Known y

Known x

2

6

3

5

9

11

1

7

8

5

7

4

5

4

Formula

Description

R esult

=RSQ(A3:A9, B3:B9)

Square of the Pearson product moment correlation coefficient through data points in A3:A9 and B3:B9.

0.05795

Need more help?

Want more options?

Explore subscription benefits, browse training courses, learn how to secure your device, and more.